《风之歌》宛如一阵来自前苏联的清风,悠悠诉说着往昔的故事。旋律舒缓而悠扬,似风中飘来的低语。它或许承载着对祖国山河的深情眷恋,对岁月变迁的感慨。歌曲以独特的音乐语言,展现出那个时代的风情与人们内心的波澜。在音符的流淌中,仿佛能看到前苏联广袤大地上的山川河流、城镇村庄。它用细腻的情感,将过去的时光编织成一曲动人乐章,让聆听者沉浸在那充满诗意与情怀的旋律世界,感受着独属于前苏联的魅力与韵味。
[前苏联]风之歌曲谱是由作曲:紫光相友译配,上传:秋叶起舞,版权归原作者所有。
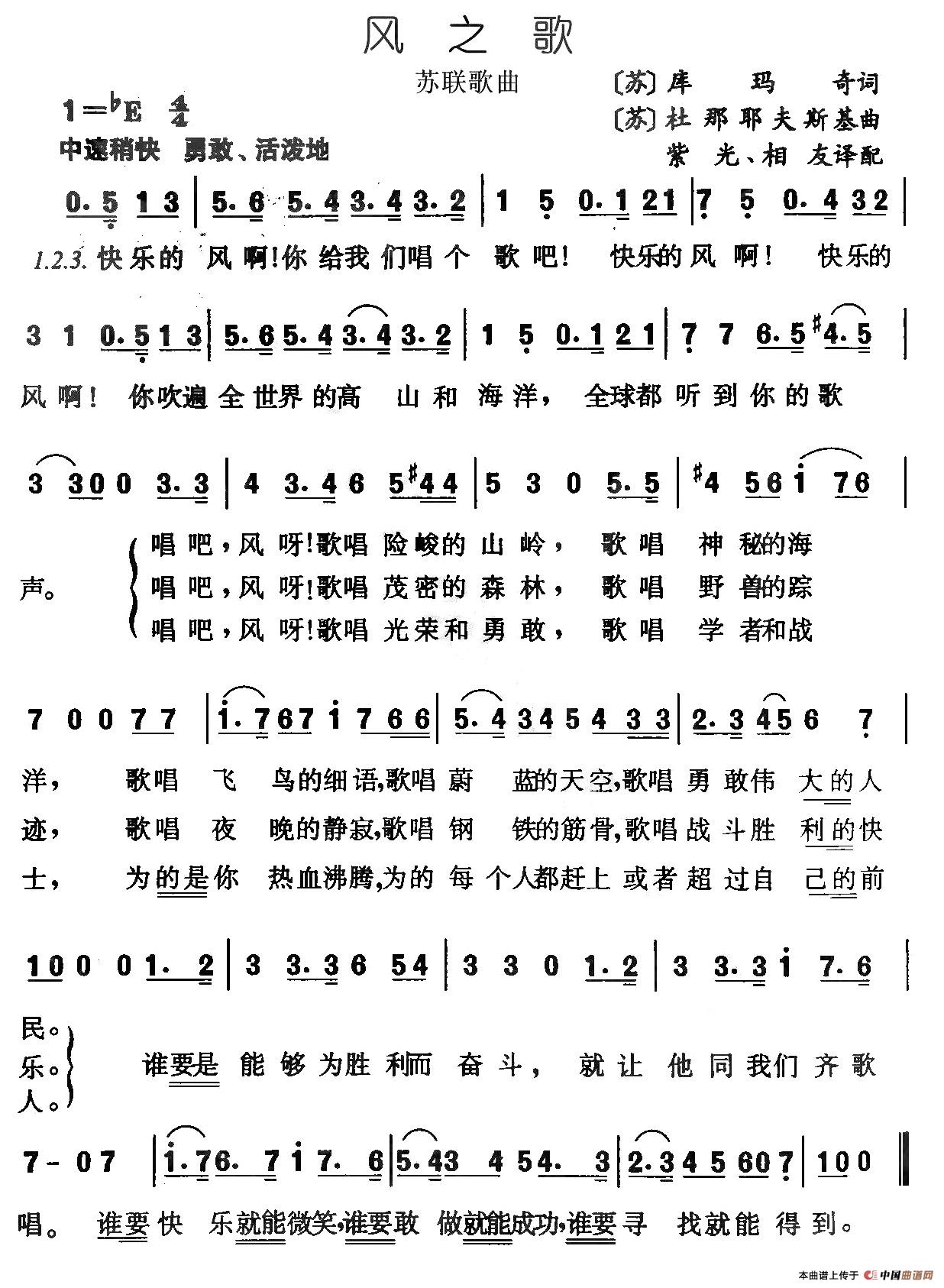
![[前苏联]风之歌](https://www.qupu123.com/Public/Uploads/2017/08/04/59841e8fc0bf3.jpg)
温馨提示:想要保存《[前苏联]风之歌》歌曲简谱,感受前苏联风情曲谱?在曲谱图片上单击右键,选择"图片另存为...",即可将该曲谱保存到您的电脑本地,想要打印出来?将图片插入到WORD中,调整合适到大小打印即可。