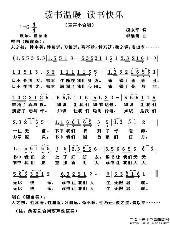
《读书温暖 读书快乐》宛如一股清泉,流淌在求知的心田。旋律轻快活泼,仿佛带着孩子们在知识的海洋中尽情遨游。歌词简单却充满力量,生动地描绘出读书带来的温暖与快乐。它用小合唱的形式,展现出集体阅读的美好氛围。让人听后,不禁回想起那些沉浸在书本世界的惬意时光,感受到读书能驱散心灵的阴霾,带来无尽的阳光。激励着人们热爱读书,在字里行间找寻温暖,收获快乐,开启一段段丰富多彩的精神旅程。
读书温暖 读书快乐(小合唱)曲谱是由作词:杨永平作曲:华维明格式:简谱,上传:秋叶起舞,版权归原作者所有。

温馨提示:想要保存读书温暖快乐小合唱简谱,展现读书的美好意境曲谱?在曲谱图片上单击右键,选择"图片另存为...",即可将该曲谱保存到您的电脑本地,想要打印出来?将图片插入到WORD中,调整合适到大小打印即可。