《让我给你点个赞》,这是一首充满欢乐与活力的歌曲。旋律轻快灵动,仿佛能瞬间点燃好心情。歌词简单直接却真挚无比,传递出对他人由衷的欣赏与赞扬。每一句都像是在欢快地表达着发现他人闪光点后的喜悦,让人听后不禁嘴角上扬。它用一种轻松愉悦的方式告诉大家,不要吝啬对身边人的夸赞,那些温暖的肯定能给彼此带来力量,让生活充满更多美好与阳光,是一首能让人感受到积极能量,在心中种下赞美的种子,而后绽放出快乐花朵的歌曲。
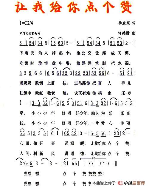
让我给你点个赞曲谱是由作词:李亚娟作曲:许德清,上传:车里子,版权归原作者所有。

温馨提示:想要保存让我给你点个赞简谱,欢快点赞之曲曲谱?在曲谱图片上单击右键,选择"图片另存为...",即可将该曲谱保存到您的电脑本地,想要打印出来?将图片插入到WORD中,调整合适到大小打印即可。