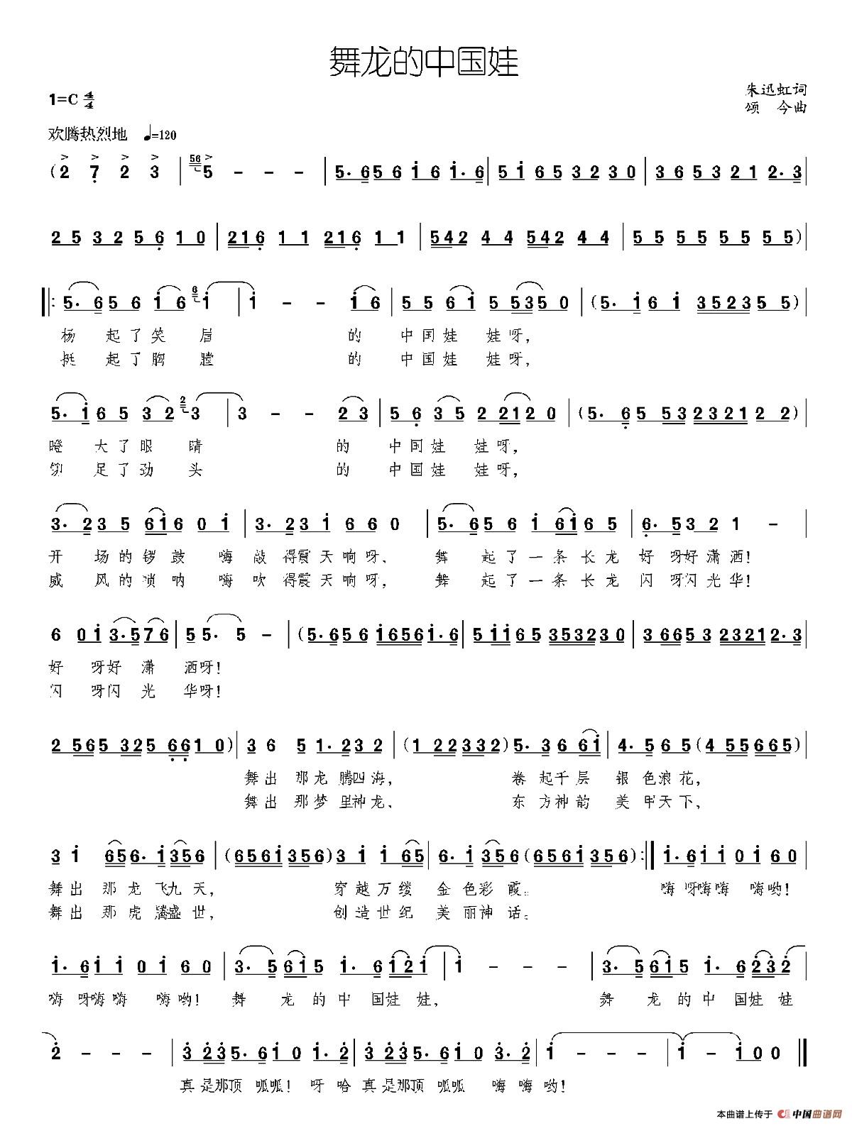
《舞龙的中国娃》欢快激昂,充满着浓郁的中国风。歌曲旋律似舞动的节奏,带着孩子般的活力与热情。歌词中描绘的舞龙场景生动鲜活,展现出中国娃对传统文化的热爱与传承。那一声声呐喊,是对龙的敬仰,对民族精神的弘扬。听着这首歌,仿佛能看到一群活泼的孩子手持龙具,欢腾跳跃,舞出一片精彩。它不仅是一首动听的儿歌,更传递着深厚的文化内涵,激励着孩子们成为传承中华优秀传统文化的小小使者,让舞龙这一传统技艺在新时代焕发出新的光彩。
舞龙的中国娃曲谱是由作词:朱迅虹作曲:颂今,上传:秋叶起舞,版权归原作者所有。

温馨提示:想要保存舞龙的中国娃,展现活力与自豪曲谱?在曲谱图片上单击右键,选择"图片另存为...",即可将该曲谱保存到您的电脑本地,想要打印出来?将图片插入到WORD中,调整合适到大小打印即可。