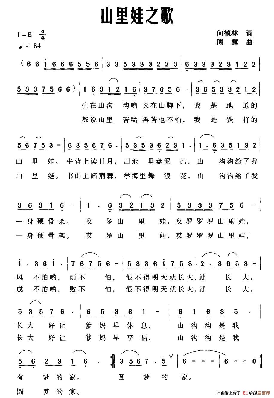
《山里娃之歌》是一首充满力量与希望的歌曲。旋律轻快灵动,似山间潺潺溪流,诉说着山里娃的故事。何德林的词生动描绘出山里娃们质朴的生活与坚韧的精神。他们在大山的怀抱中成长,怀揣梦想。歌曲以独特视角展现了山里娃对未来的憧憬,即便身处大山,也有着追求美好生活的决心。那欢快的节奏仿佛带着山里娃们冲破重重阻碍,向着更广阔天地奔跑,传递出积极向上、勇往直前的正能量,让人不禁为山里娃们的热情与勇气所打动。
山里娃之歌(何德林词 周露曲)曲谱是由作词:何德林作曲:周露,上传:秋叶起舞,版权归原作者所有。

温馨提示:想要保存山里娃之歌简谱,唱出山村孩子情曲谱?在曲谱图片上单击右键,选择"图片另存为...",即可将该曲谱保存到您的电脑本地,想要打印出来?将图片插入到WORD中,调整合适到大小打印即可。