《童年》宛如一首悠扬的时光之歌,带着我们回溯纯真岁月。晨枫的词细腻勾勒出童年的点滴画面,张荣辉的曲轻快灵动,仿佛能看见放学后与伙伴嬉戏的场景,听到蝉鸣中传来的阵阵欢笑。那黑板上老师的粉笔,还在拼命叽叽喳喳写个不停,一句歌词便勾起多少人对课堂的怀念。它用简单质朴的旋律和歌词,唱出了童年的无忧无虑、天真烂漫,让我们在聆听中重温那段最美好的旧时光,心中满是温暖与感动。
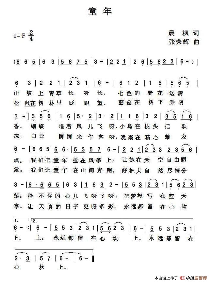
童年(晨枫词 张荣辉曲)曲谱是由作词:晨枫作曲:张荣辉,上传:车里子,版权归原作者所有。

温馨提示:想要保存童年简谱,难忘纯真岁月曲谱?在曲谱图片上单击右键,选择"图片另存为...",即可将该曲谱保存到您的电脑本地,想要打印出来?将图片插入到WORD中,调整合适到大小打印即可。