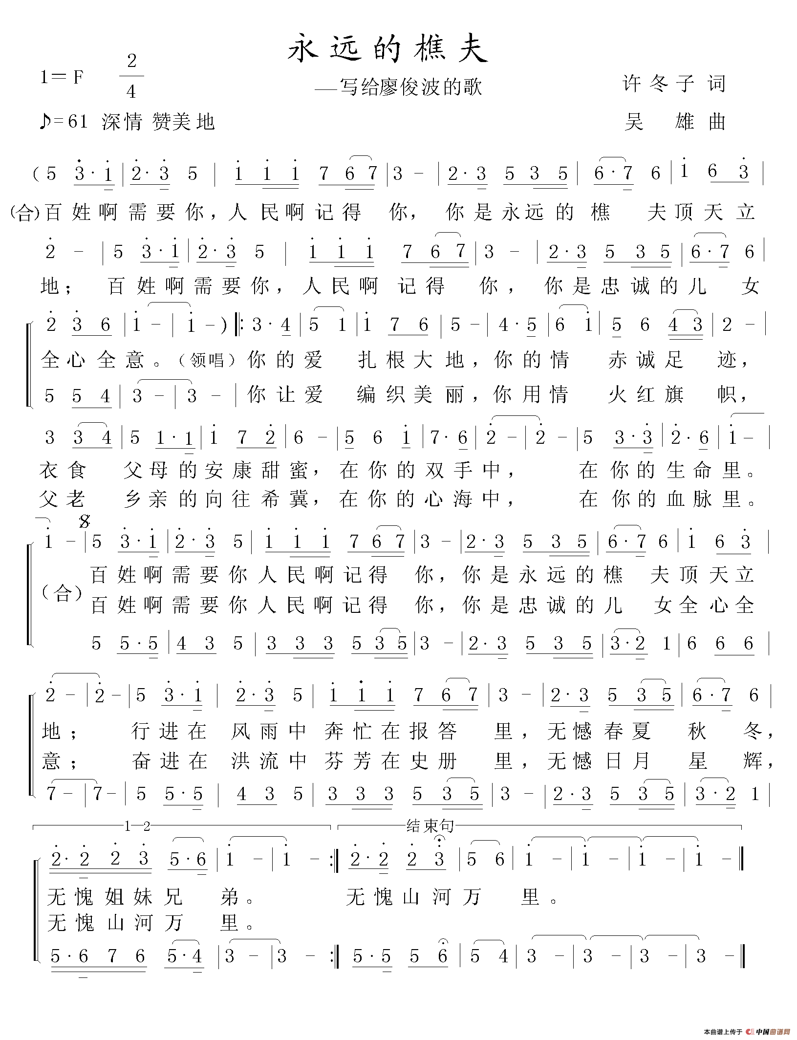
《永远的樵夫》,这是一首饱含深情与敬意的歌曲。它生动地刻画了一位伟大樵夫的形象,用旋律讲述着他的故事。歌曲旋律悠扬中带着质朴,仿佛在娓娓诉说着樵夫的默默奉献与坚韧不拔。歌词简洁而有力,精准地传达出对樵夫精神的赞美。听着这首歌,能真切感受到那种为了事业、为了人民无私付出的情怀,让人不禁对这位“永远的樵夫”肃然起敬,也激励着人们在各自的岗位上,传承和发扬这种无私奉献、脚踏实地的精神,让这份珍贵的精神永远熠熠生辉。
永远的樵夫曲谱是由作词:许冬子作曲:吴雄演唱(奏):袁冰,上传:车里子,版权归原作者所有。

温馨提示:想要保存永远的樵夫歌曲简谱,致敬时代楷模精神曲谱?在曲谱图片上单击右键,选择"图片另存为...",即可将该曲谱保存到您的电脑本地,想要打印出来?将图片插入到WORD中,调整合适到大小打印即可。