《夜太黑》是一首极具感染力的歌曲。它以舒缓却又带着淡淡忧伤的旋律,营造出一种夜幕下的孤寂氛围。歌词中“夜太黑,天太冷,心会飞”,寥寥数语便将那种在黑暗中内心的漂泊与孤独展现得淋漓尽致。
歌手独特的嗓音带着一丝沙哑,仿佛在诉说着那些不为人知的心事。歌曲表达了在人生的某些时刻,我们会陷入迷茫与无助,就像置身于无尽的黑夜之中。但即便如此,我们依然怀揣着一丝希望,让心去飞翔。它让每一个在夜晚独自沉思的人,都能从中找到共鸣,感受到那份属于自己的情感触动。
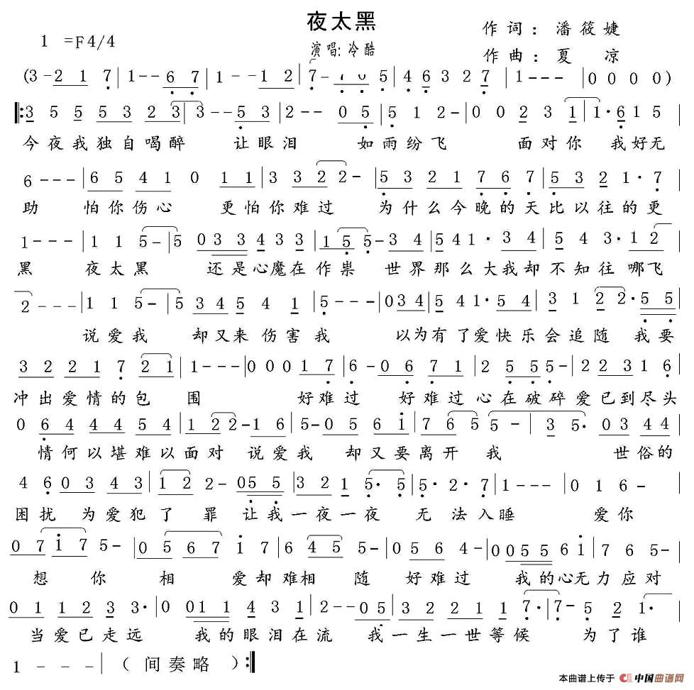
夜太黑曲谱是由作词:潘筱婕作曲:夏凉演唱(奏):冷酷,上传:冷酷,版权归原作者所有。

温馨提示:想要保存夜太黑简谱,哀伤孤寂之韵曲谱?在曲谱图片上单击右键,选择"图片另存为...",即可将该曲谱保存到您的电脑本地,想要打印出来?将图片插入到WORD中,调整合适到大小打印即可。