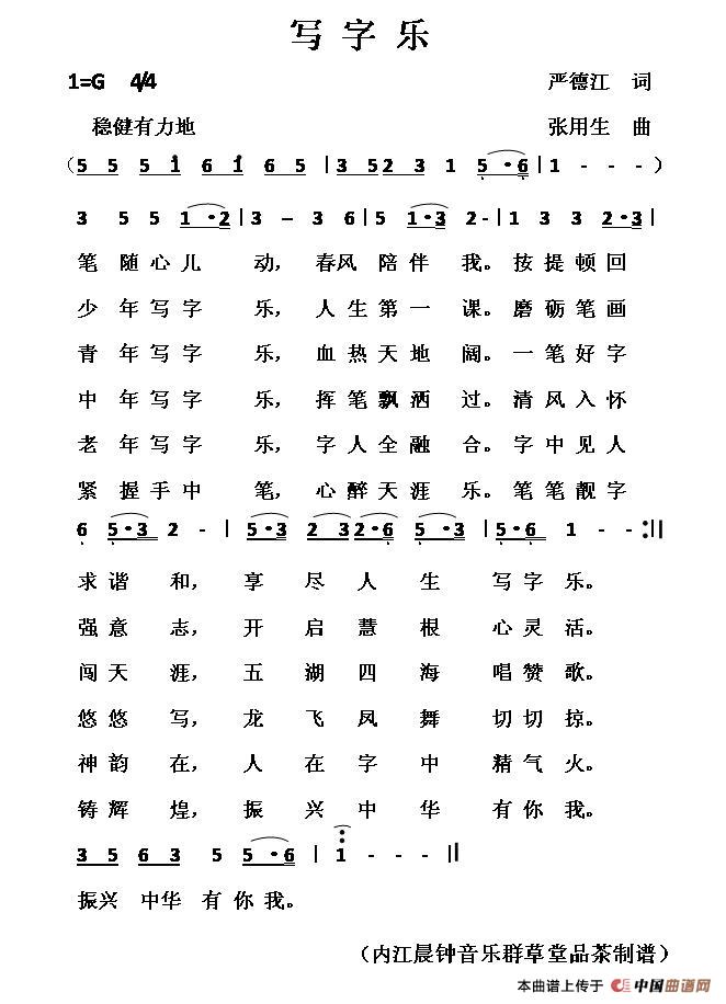
写字乐简谱,传递书写乐趣

时间:2025-03-23 23:27:47 通俗歌曲谱 来源:中国曲谱网

《写字乐》仿佛是一首充满文化韵味与欢快气息的乐章。它将书写汉字这一传统活动以音乐的形式生动展现,让我们在旋律中感受到了书写的乐趣。歌曲旋律轻松愉悦,犹如清风拂面,让人心情畅快。歌词或许巧妙地融入了汉字的特点、书写的技巧等元素,既富有教育意义,又不失活泼俏皮。它想表达的是对中华传统书法文化的热爱与传承,鼓励人们在一笔一划中领略汉字的魅力,在书写过程中享受那份宁静与快乐,唤起大家对书写文化的重视与兴趣。

写字乐曲谱是由作词:严德江作曲:张用生演唱(奏):晨钟乐队,上传:草堂品茶,版权归原作者所有。

写字乐

温馨提示:想要保存写字乐简谱,传递书写乐趣曲谱?在曲谱图片上单击右键,选择"图片另存为...",即可将该曲谱保存到您的电脑本地,想要打印出来?将图片插入到WORD中,调整合适到大小打印即可。