《忘记过去》宛如一阵清风吹散记忆的阴霾。这首歌用悠扬的旋律勾勒出挣脱过往束缚的决心。歌词中满是对过去那些伤痛、遗憾的释怀,像是在跟曾经的自己挥手告别。它传达出一种积极向前的生活态度,告诉人们不必再为逝去的时光和错过的人而纠结。旋律从舒缓到激昂,仿佛是一个人从深陷回忆的迷茫中逐渐清醒,最终鼓起勇气大步迈向新的生活。每一个音符都充满力量,让听众在歌声中找到重新出发的勇气,相信未来会有更美好的风景等待着。
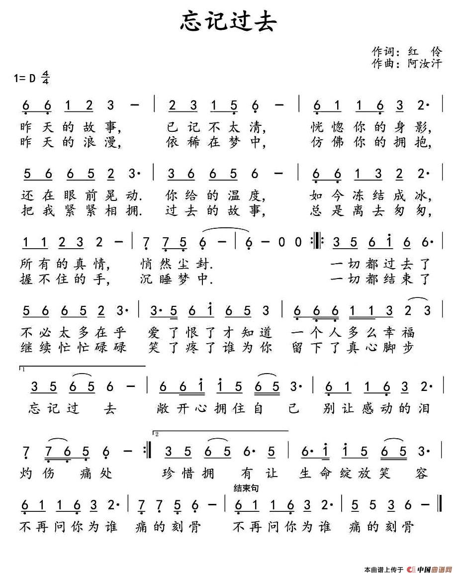
忘记过去曲谱是由作词:红伶作曲:阿汝汗,上传:车里子,版权归原作者所有。

温馨提示:想要保存忘记过去简谱,告别旧日时光曲谱?在曲谱图片上单击右键,选择"图片另存为...",即可将该曲谱保存到您的电脑本地,想要打印出来?将图片插入到WORD中,调整合适到大小打印即可。