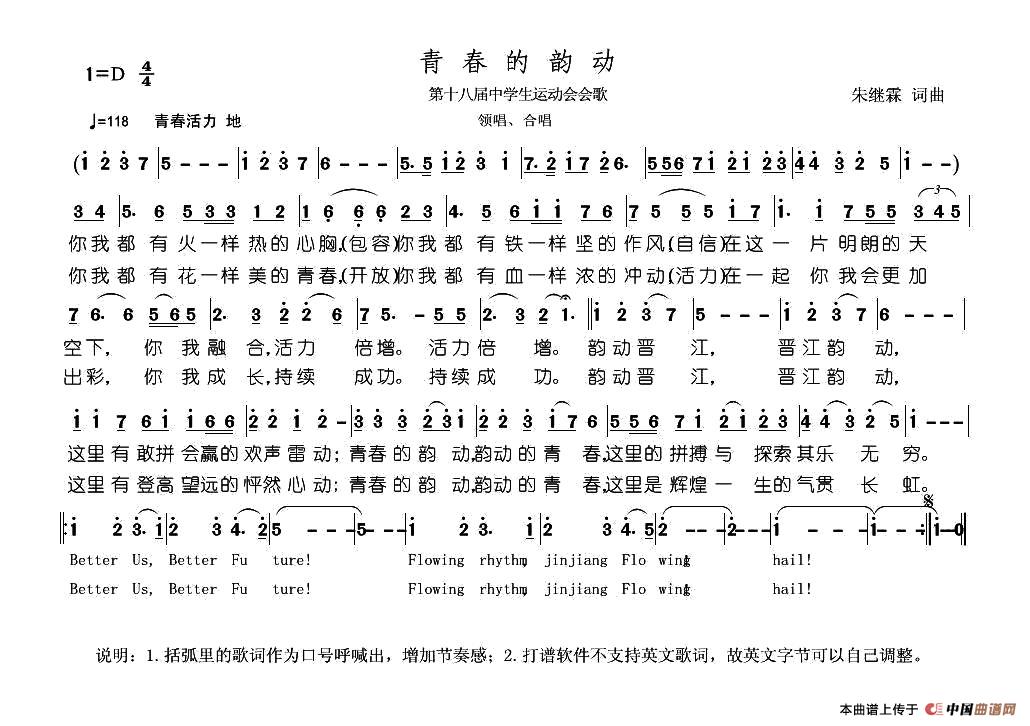
《青春的韵动》宛如一首激昂的青春赞歌,它的旋律充满活力与朝气,每一个音符都仿佛是青春跳动的脉搏。节奏轻快且富有韵律,能瞬间点燃人们内心的热情,让人忍不住跟着节拍摇摆。歌词积极向上,描绘着青春的梦想、勇气与无畏,传递出在青春岁月里不断奋进、拼搏的精神。它就像一道光,照亮青春前行的道路,激励着每一个怀揣梦想的人,去追逐属于自己的光芒,让青春在这韵动中绽放出最绚烂的色彩。
青春的韵动曲谱是由作词:朱继霖作曲:朱继霖,上传:车里子,版权归原作者所有。

温馨提示:想要保存青春的韵动歌曲简谱,展现活力青春风采曲谱?在曲谱图片上单击右键,选择"图片另存为...",即可将该曲谱保存到您的电脑本地,想要打印出来?将图片插入到WORD中,调整合适到大小打印即可。