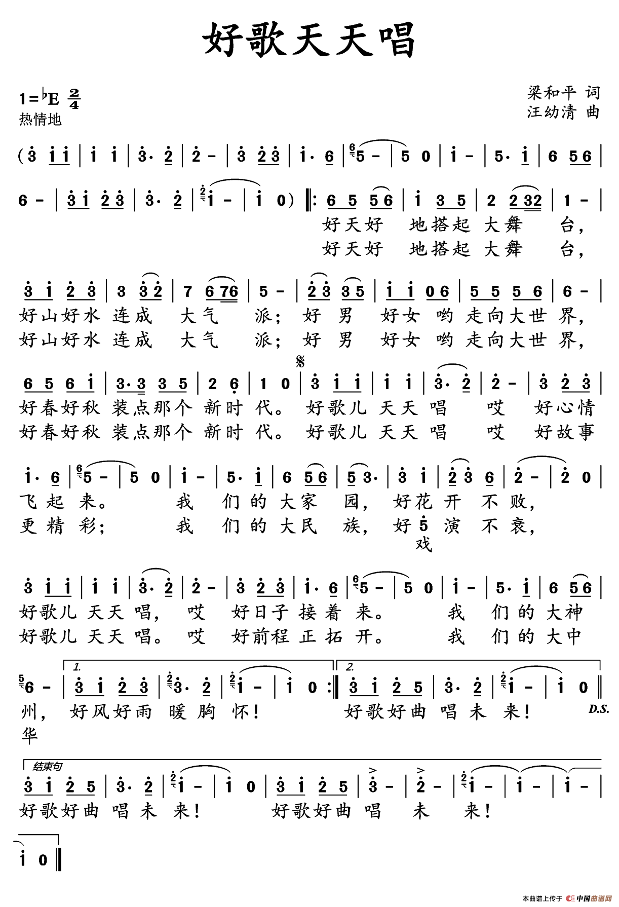
《好歌天天唱》由梁和平作词、汪幼清作曲,是一首欢快且充满正能量的歌曲。旋律活泼灵动,犹如欢快流淌的溪流,带着轻松愉悦的气息扑面而来。歌词积极向上,传递出对美好生活的赞美与向往。它鼓励人们以乐观的心态面对生活,用歌声驱散烦恼。当我们聆听这首歌,仿佛置身于一场欢乐的音乐派对,每个音符都在激发着内心的热情。无论是在忙碌的工作日,还是闲暇的周末,这首歌曲都能成为心灵的慰藉,让我们在歌声中感受美好,将快乐传递给身边的每一个人。
好歌天天唱(梁和平词 汪幼清曲)曲谱是由作词:梁和平作曲:汪幼清,上传:车里子,版权归原作者所有。

温馨提示:想要保存好歌天天唱歌曲简谱,传递快乐与美好曲谱?在曲谱图片上单击右键,选择"图片另存为...",即可将该曲谱保存到您的电脑本地,想要打印出来?将图片插入到WORD中,调整合适到大小打印即可。