老同学聚会,总有着说不完的话,道不尽的情,而一些歌曲恰能完美诠释这份情怀。像《友谊地久天长》就很适合在聚会时播放。它旋律悠扬,歌词简单真挚,“怎能忘记旧日朋友,心中能不怀想”,一下就把大家带回到往昔岁月。在同学聚会上,这首歌响起,大家举杯相庆,回忆着曾经一起度过的青春时光,那些纯真的欢笑、懵懂的故事都涌上心头。它传达出的是对旧日情谊的珍视,即便时光流转,那份同学情也永远不会褪色,让聚会的氛围变得格外温暖又动人。
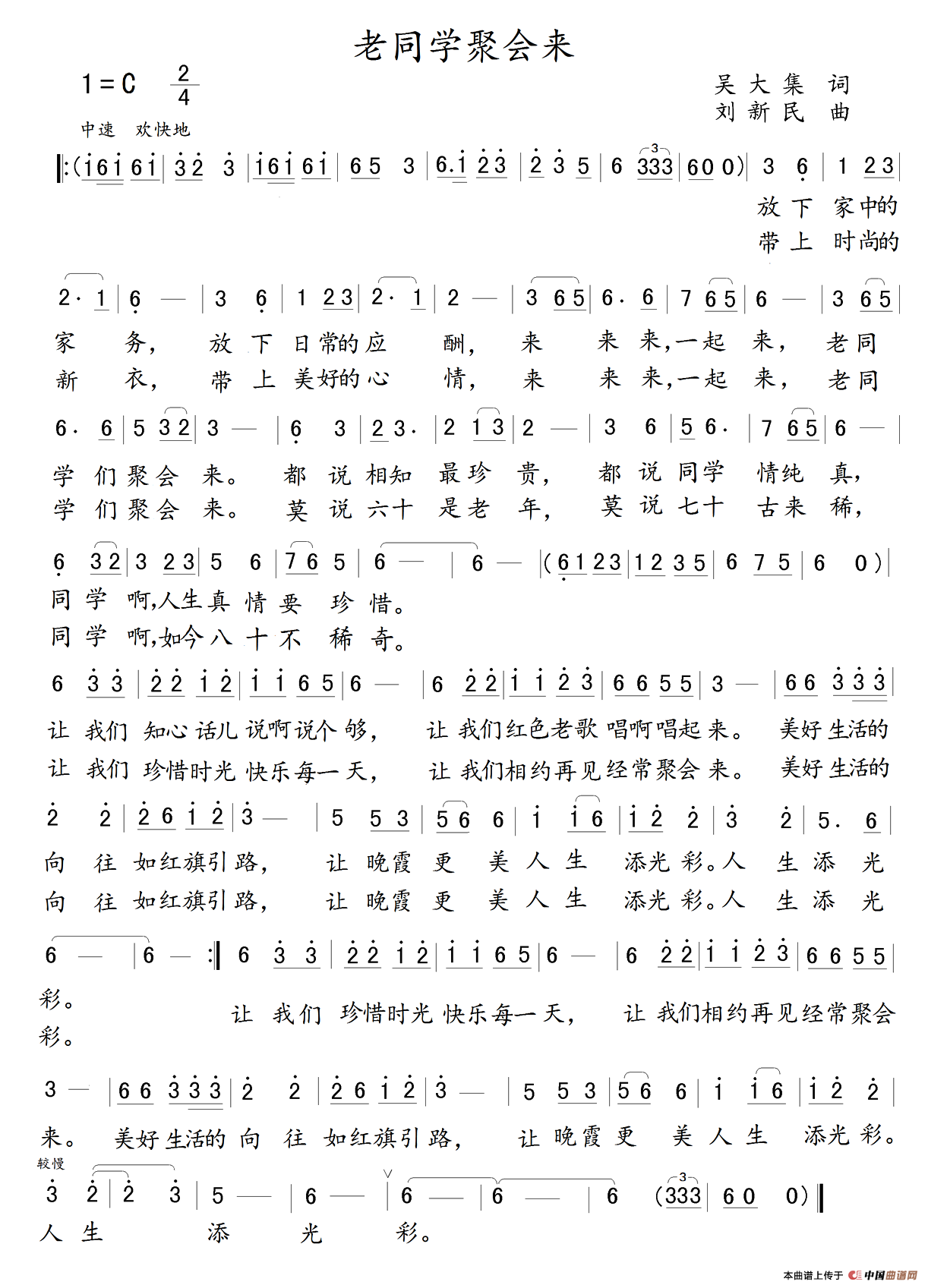
老同学聚会来曲谱是由作词:吴大集作曲:刘新民演唱(奏):于洋,上传:流星明,版权归原作者所有。

温馨提示:想要保存老同学聚会来简谱,重温往昔情谊曲谱?在曲谱图片上单击右键,选择"图片另存为...",即可将该曲谱保存到您的电脑本地,想要打印出来?将图片插入到WORD中,调整合适到大小打印即可。