《天下最好的妈妈》是一首温暖且充满深情的歌曲。它以质朴又动人的旋律,配合着真挚的歌词,将对妈妈的感恩与赞美展现得淋漓尽致。歌曲中每一个音符都流淌着孩子对妈妈深深的爱,让听众仿佛能看到孩子依偎在妈妈身旁,甜甜诉说着对妈妈的依赖与喜爱。在生活里,妈妈总是给予我们无微不至的关怀,她的付出不求回报。这首歌曲就像是孩子的心声,直白地表达出妈妈在孩子心中无可替代的地位,让人听后内心满是感动,也提醒着我们要珍惜妈妈的爱,及时向妈妈表达我们的感恩之情。
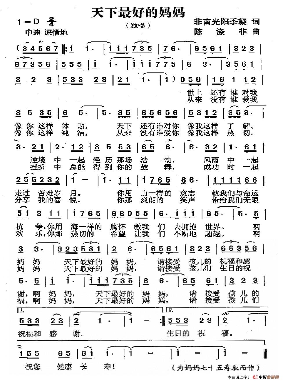
天下最好的妈妈曲谱是由作词:非南光、阳季凝作曲:陈涤非,上传:陈涤非,版权归原作者所有。

温馨提示:想要保存天下最好的妈妈简谱,歌颂伟大母爱曲谱?在曲谱图片上单击右键,选择"图片另存为...",即可将该曲谱保存到您的电脑本地,想要打印出来?将图片插入到WORD中,调整合适到大小打印即可。