《亲密的伴侣》宛如一首温柔的恋曲,在时光长河中缓缓流淌。它以悠扬的旋律勾勒出伴侣间甜蜜又温馨的画面,仿佛将听众带入了那充满爱意的世界。歌词细腻地描绘着两人相处的点滴,从日常的陪伴到心灵的契合,每一句都饱含深情。歌曲中传递出的是对亲密关系的珍视与感恩,那种相濡以沫、不离不弃的情感令人动容。无论是在喧嚣的都市,还是静谧的夜晚,它都能触动人们内心深处对美好爱情的向往,让我们更加珍惜身边那位亲密的伴侣。
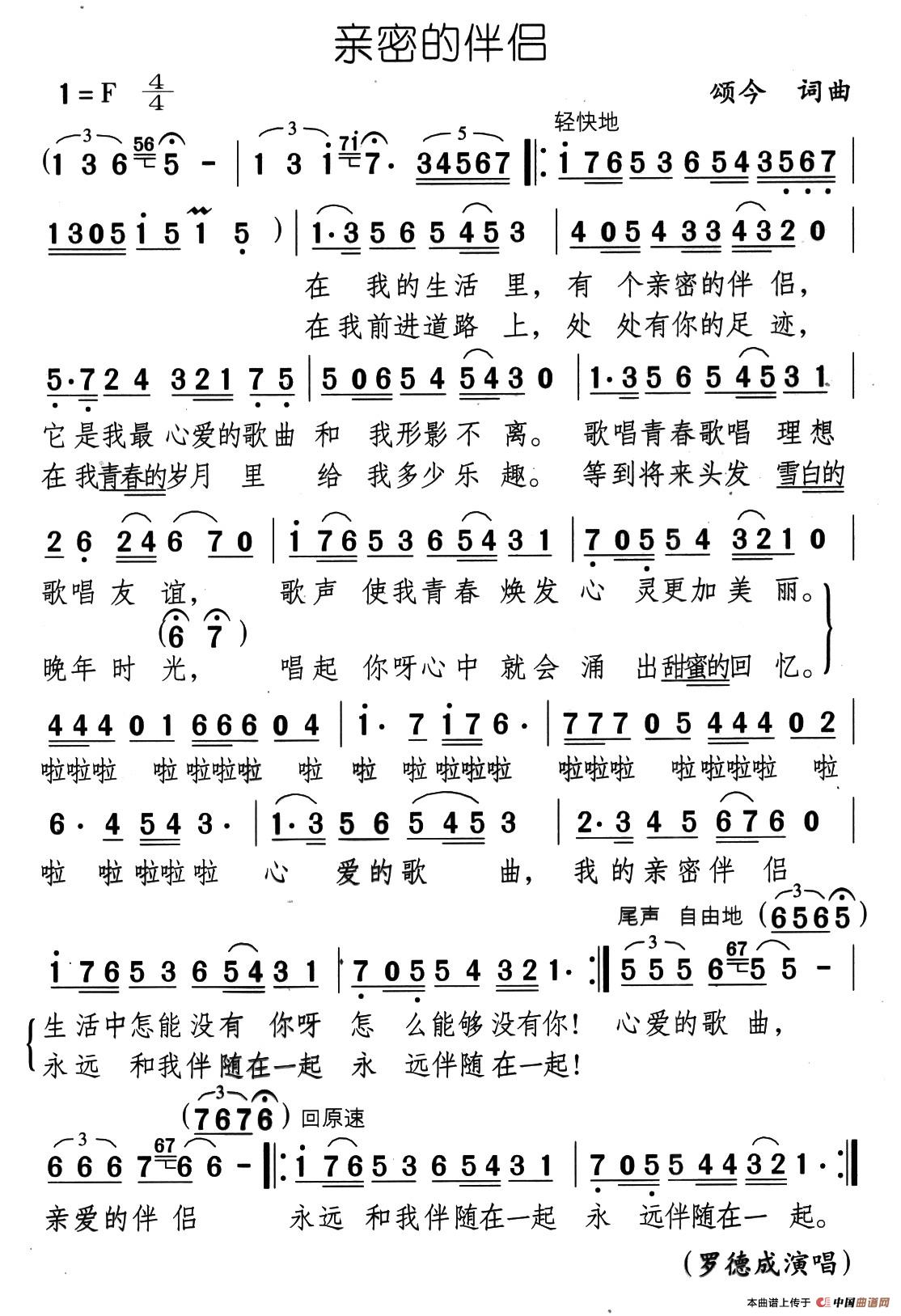
亲密的伴侣曲谱是由作词:颂今作曲:颂今,上传:秋叶起舞,版权归原作者所有。

温馨提示:想要保存亲密伴侣,爱意满溢曲谱?在曲谱图片上单击右键,选择"图片另存为...",即可将该曲谱保存到您的电脑本地,想要打印出来?将图片插入到WORD中,调整合适到大小打印即可。