中国梦歌曲是一类具有鲜明时代特色与精神内涵的音乐作品。它紧扣“中国梦”这一主题,旨在弘扬中国精神、凝聚中国力量。
这些歌曲往往旋律激昂振奋,歌词富有感染力。它们或是赞美祖国的壮丽山河与悠久历史,展现大国风采;或是描绘人民为实现梦想而奋斗的火热场景,激发大众的拼搏热情;又或是传递对美好生活的向往与追求,体现民族的共同愿景。像《共筑中国梦》等作品,就以大气磅礴的曲风,唱出了中华儿女的心声,让人们在歌声中感受到团结一心、为梦想砥砺前行的强大动力,成为推动社会进步和文化发展的有力音符。
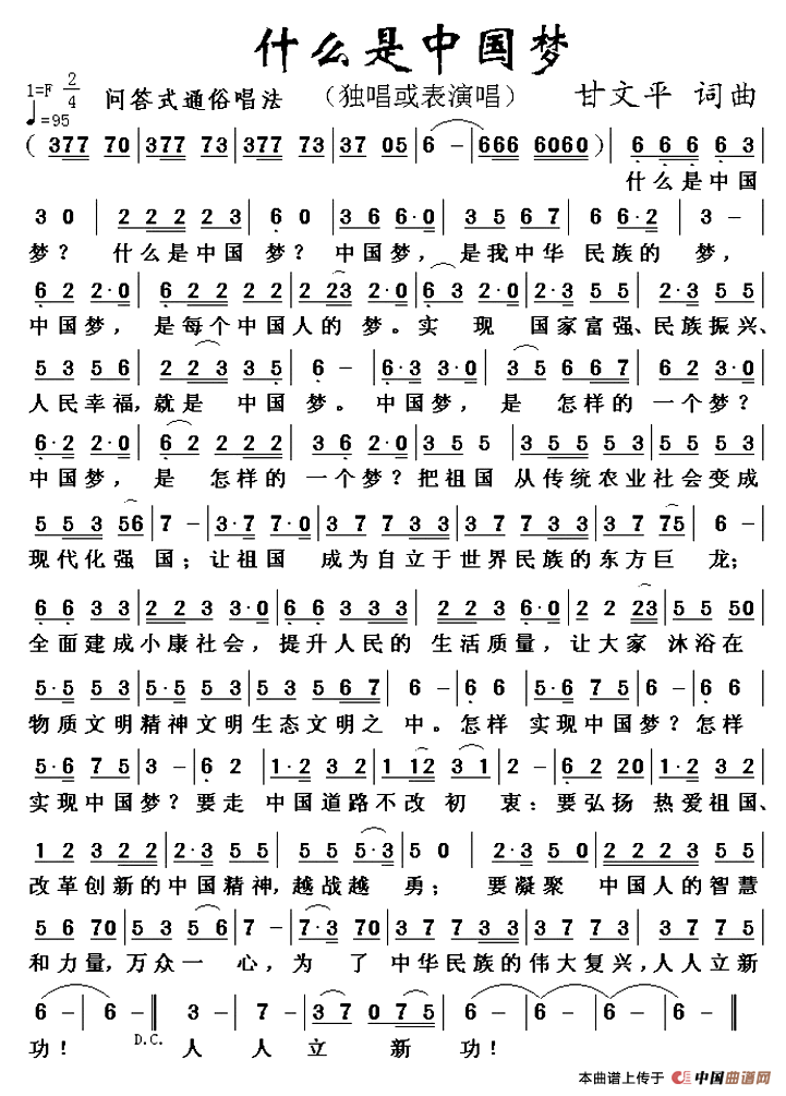
什么是中国梦曲谱是由作词:甘文平作曲:甘文平,上传:车里子,版权归原作者所有。

温馨提示:想要保存什么是中国梦简谱,诠释梦想内涵曲谱?在曲谱图片上单击右键,选择"图片另存为...",即可将该曲谱保存到您的电脑本地,想要打印出来?将图片插入到WORD中,调整合适到大小打印即可。