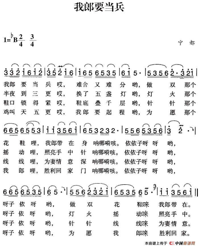
《我郎要当兵》是赣南闽西极具代表性的红色歌曲。它以质朴的语言、婉转的曲调,唱出了那个特殊时代的情感与期盼。
歌曲描绘了姑娘对心上人要去当兵的复杂心情,有不舍、担忧,更有支持与鼓励。在战火纷飞的年代,无数青年响应号召投身革命,他们身后是亲人默默的支持。这首歌不仅展现了儿女情长,更凸显了大义担当。其旋律简单易记,充满浓郁的地方特色,生动反映了当时的社会风貌和人民的精神状态,让我们在歌声中感受到革命年代爱情与家国情怀的交融,激励着后人铭记历史、奋勇前行。
赣南闽西红色歌曲:我郎要当兵曲谱是由作曲:宁都民歌,上传:热爱音乐88,版权归原作者所有。

温馨提示:想要保存赣南闽西红色战歌简谱,展现参军爱国情曲谱?在曲谱图片上单击右键,选择"图片另存为...",即可将该曲谱保存到您的电脑本地,想要打印出来?将图片插入到WORD中,调整合适到大小打印即可。