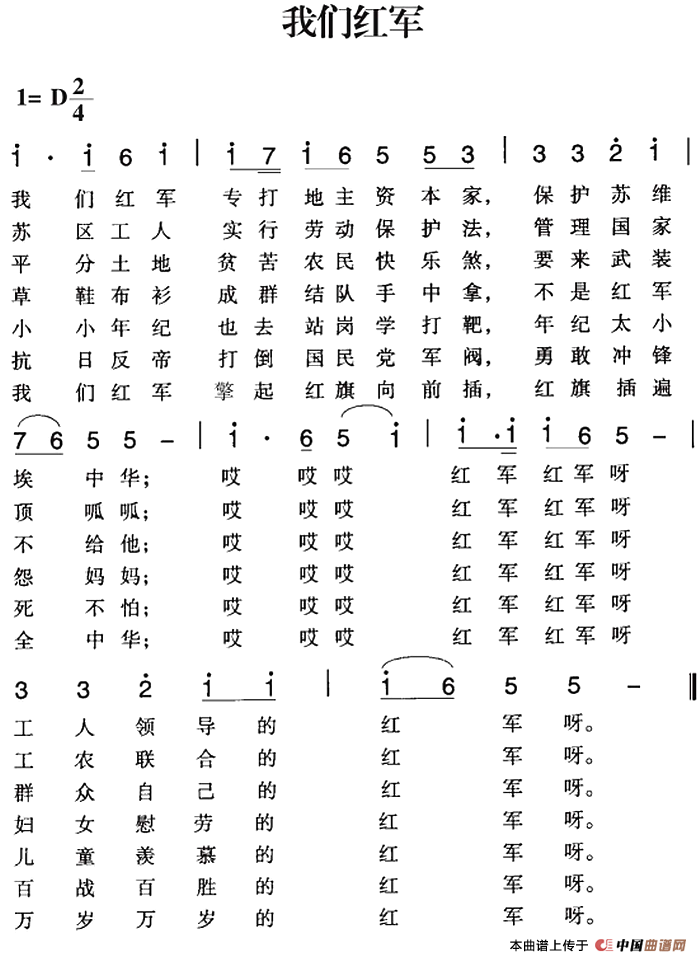
《我们红军歌曲》作为赣南闽西红色歌曲的代表,承载着厚重的历史与浓烈的情感。它诞生于革命峥嵘岁月,是红军战士们的心声表达。歌曲节奏有力、旋律激昂,就像战斗的号角,鼓舞着红军战士奋勇向前。其歌词质朴却充满力量,生动展现了红军坚定的信仰、顽强的意志和为人民谋幸福的使命担当。每当旋律响起,仿佛能看到红军战士们在战火纷飞中冲锋陷阵、在艰难困苦中坚守理想。它不仅是一首音乐作品,更是一部生动的革命教材,让后人深刻感受到那段波澜壮阔的红色历史,激励着我们传承红色基因,为实现美好未来而不懈奋斗。
赣南闽西红色歌曲:我们红军曲谱是由,上传:热爱音乐88,版权归原作者所有。

温馨提示:想要保存赣南闽西红色歌曲简谱,展现红军风采曲谱?在曲谱图片上单击右键,选择"图片另存为...",即可将该曲谱保存到您的电脑本地,想要打印出来?将图片插入到WORD中,调整合适到大小打印即可。