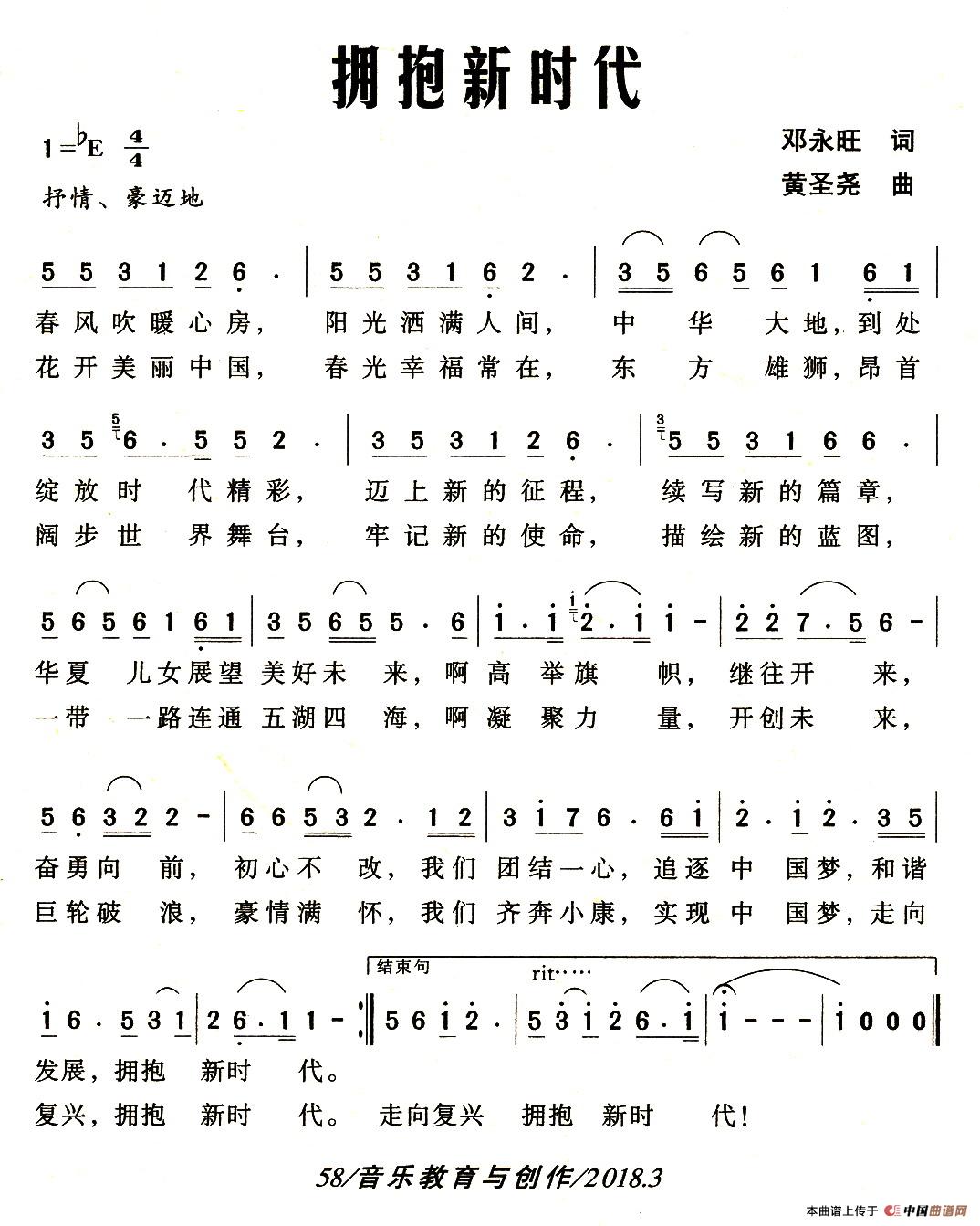
《拥抱新时代》由邓永旺作词、黄圣尧作曲,宛如一股充满活力的清泉,流淌在新时代的旋律中。歌曲以激昂且灵动的曲调,搭配积极向上的歌词,生动展现了新时代的蓬勃朝气与无限可能。
它传达出一种拥抱当下、奋勇向前的豪情壮志,激励着每一个人在新时代的浪潮中积极进取、拼搏奋斗。旋律的节奏感极强,能迅速点燃听众内心的热情,让人仿佛看到新时代的曙光与希望。无论是年轻人追求梦想,还是奋斗者坚守岗位,这首歌都能给予他们力量,让人们怀揣着对未来的憧憬,坚定地拥抱新时代,书写属于自己的辉煌篇章。
拥抱新时代(邓永旺词 黄圣尧曲)曲谱是由作词:邓永旺作曲:黄圣尧,上传:秋叶起舞,版权归原作者所有。

温馨提示:想要保存拥抱新时代歌曲简谱,展现时代新风貌曲谱?在曲谱图片上单击右键,选择"图片另存为...",即可将该曲谱保存到您的电脑本地,想要打印出来?将图片插入到WORD中,调整合适到大小打印即可。