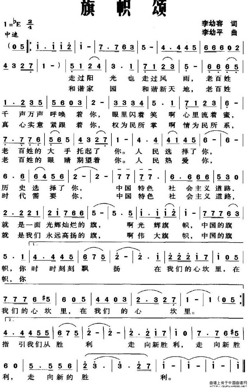
《旗帜颂》由李幼容作词、李幼平作曲,是一首大气磅礴且饱含深情的歌曲。它以旗帜为核心意象,生动地赞颂了旗帜所代表的伟大精神与力量。激昂的旋律如同一股强劲的洪流,冲击着人们的心灵,传递着振奋人心的能量。歌词富有诗意与感染力,深情地讲述着旗帜在历史长河中飘扬的故事,象征着希望与指引。这首歌曲不仅是对旗帜的赞美,更是对国家、对信仰的礼赞,让每一个聆听者都能从中感受到强烈的民族自豪感和使命感,激励着人们为了理想与目标奋勇前行。
旗帜颂(李幼容词 李幼平曲)曲谱是由作词:李幼容作曲:李幼平格式:简谱,上传:秋叶起舞,版权归原作者所有。

温馨提示:想要保存旗帜颂简谱,礼赞伟大旗帜曲谱?在曲谱图片上单击右键,选择"图片另存为...",即可将该曲谱保存到您的电脑本地,想要打印出来?将图片插入到WORD中,调整合适到大小打印即可。