《慢慢喜欢你》是一首如春日微风般轻柔温暖的歌曲。莫文蔚用她极具质感的嗓音,将那种细水长流的爱情娓娓道来。歌词描绘出恋爱中点点滴滴的美好,从初次相遇的心动,到日常相处的平淡与甜蜜,每一个细节都充满爱意。它没有惊天动地的誓言,有的只是在岁月里慢慢积累的深情。这首歌让我们明白,爱情不一定是热烈的火焰,也可以是缓缓流淌的溪流,安静且持久。在快节奏的生活里,它如一股清泉,提醒着人们用心去感受爱情中那些慢慢发生的美好。
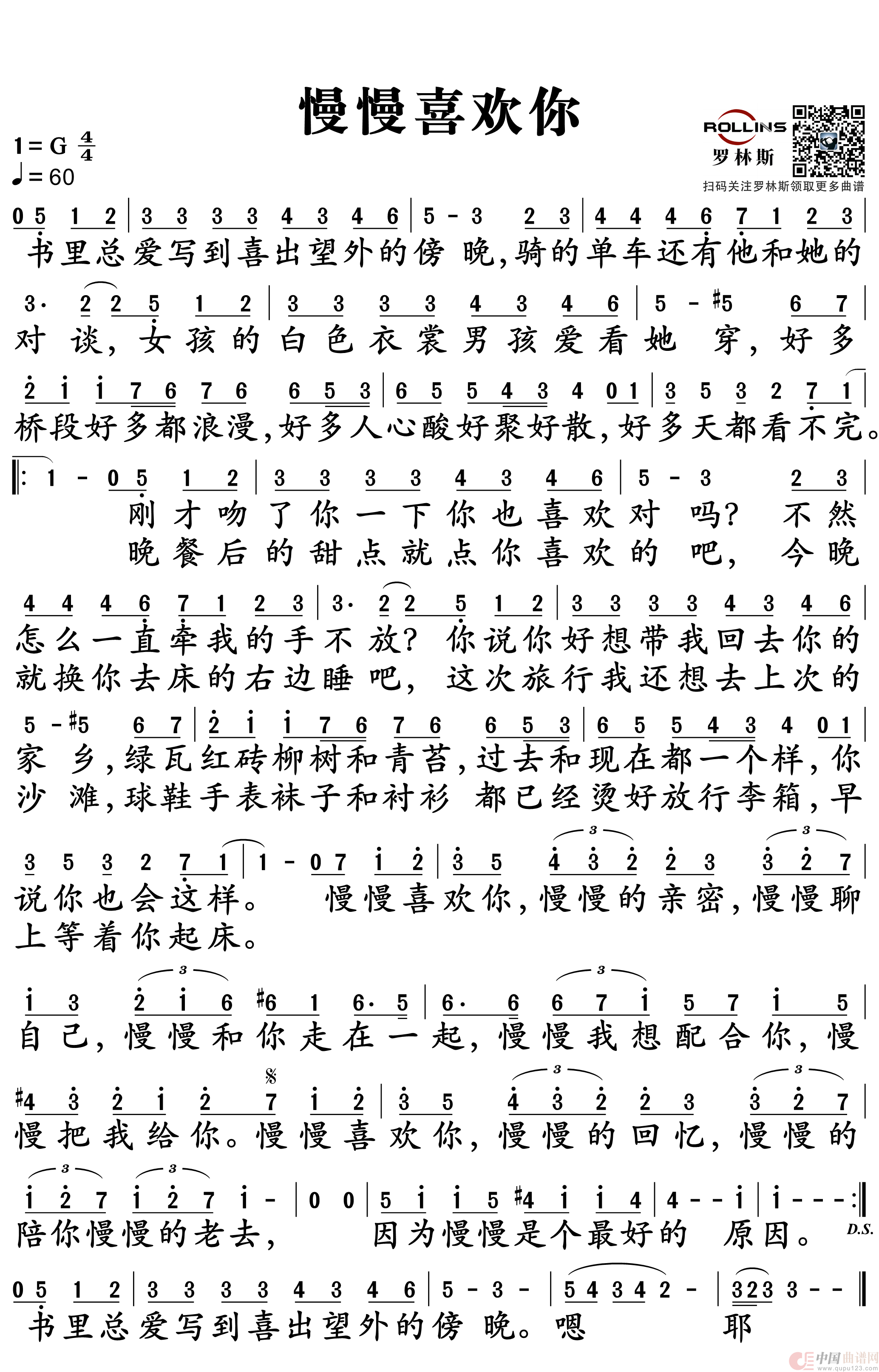
慢慢喜欢你曲谱是由作词:李荣浩作曲:李荣浩演唱(奏):莫文蔚,上传:罗林斯乐器,版权归原作者所有。

温馨提示:想要保存慢慢喜欢你歌曲简谱,甜蜜爱意满心间曲谱?在曲谱图片上单击右键,选择"图片另存为...",即可将该曲谱保存到您的电脑本地,想要打印出来?将图片插入到WORD中,调整合适到大小打印即可。