《带你去旅行》宛如一阵清新的风,吹进了无数听众的心田。歌曲旋律轻快活泼,节奏动感十足,一响起就能让人不自觉地跟着哼唱。
在歌词方面,充满了对浪漫旅行的憧憬与向往。“我想要带你去浪漫的土耳其,然后一起去东京和巴黎”,简单直白的表述,勾勒出一幅美好的画面,让每一个心怀梦想的人都渴望能和心爱的人踏上这段奇妙旅程。它唱出了年轻人对自由、爱情和远方的追求,用轻松的方式传递出积极向上的生活态度,让人听后心生愉悦,仿佛已经置身于梦幻的旅途之中。
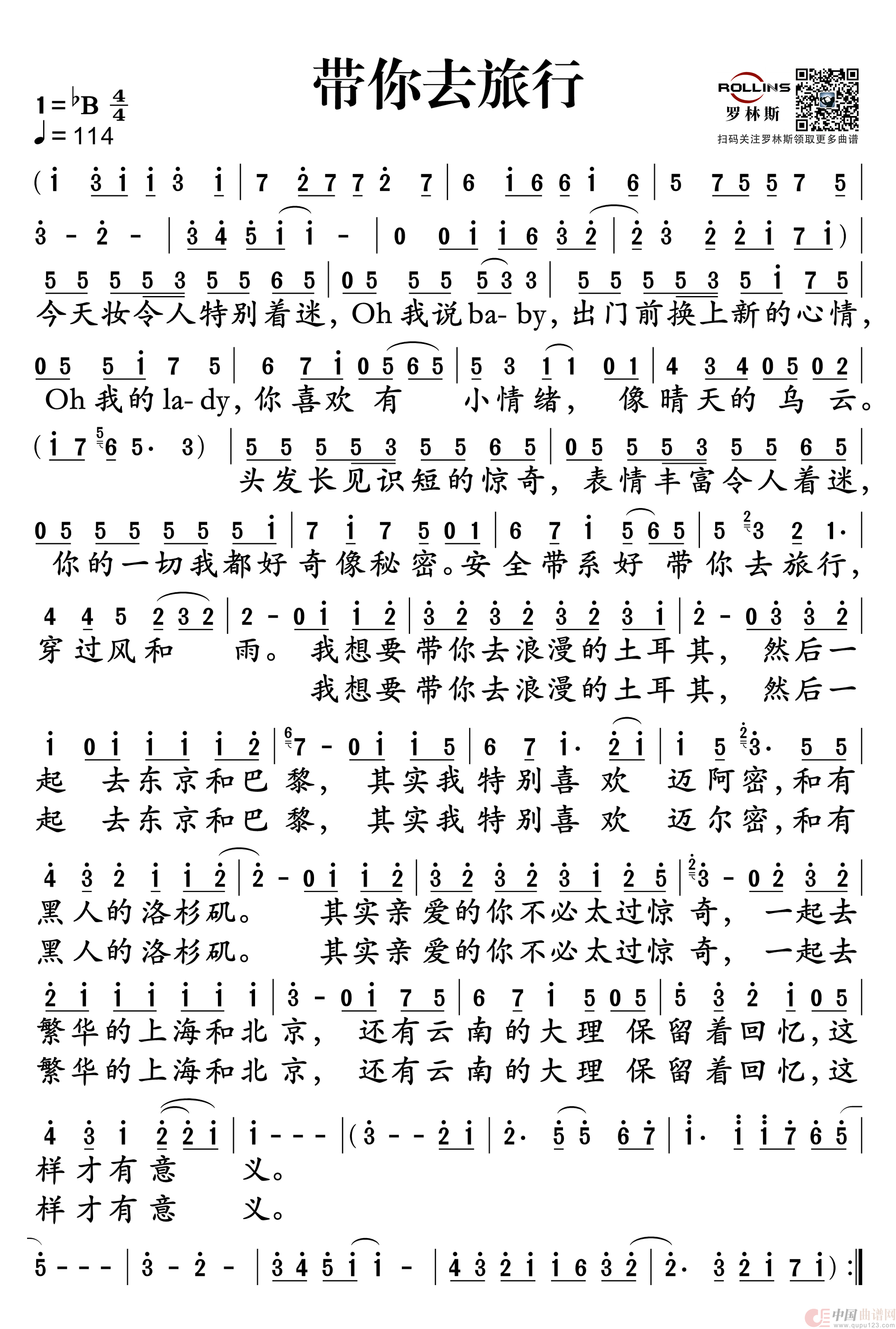
带你去旅行曲谱是由作词:朱贺作曲:朱贺演唱(奏):张驰,上传:罗林斯乐器,版权归原作者所有。

温馨提示:想要保存带你去旅行歌曲简谱,浪漫旅行的旋律曲谱?在曲谱图片上单击右键,选择"图片另存为...",即可将该曲谱保存到您的电脑本地,想要打印出来?将图片插入到WORD中,调整合适到大小打印即可。