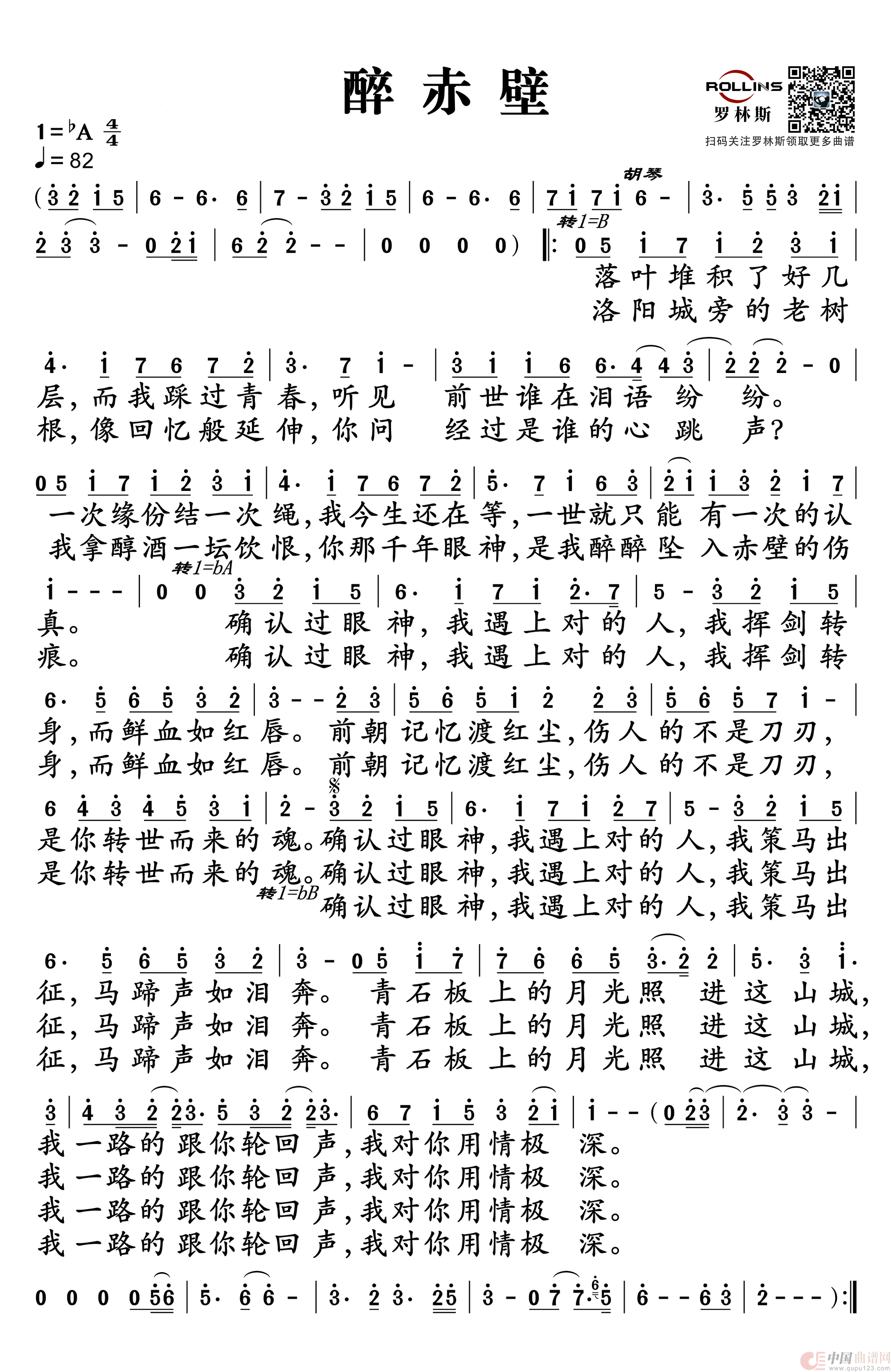
《醉赤壁》是一首极具韵味的古风歌曲。林俊杰独特的嗓音宛如一阵清风,带着听众穿越到赤壁古战场。歌曲旋律优美婉转,古筝等古典乐器的加入,营造出浓厚的古典氛围。歌词富有诗意,“确认过眼神,我遇上对的人”这句更是成为经典。它讲述了一段跨越时空的浪漫爱情,在金戈铁马的赤壁背景下,那份柔情显得格外动人。既展现了英雄豪杰的豪迈气概,又细腻地刻画了儿女情长,让人沉醉其中,仿佛亲身经历了一场荡气回肠的爱情故事。
醉赤壁曲谱是由作词:方文山作曲:林俊杰、蔡政勋演唱(奏):林俊杰,上传:罗林斯乐器,版权归原作者所有。

温馨提示:想要保存醉赤壁歌曲简谱,古风韵味十足曲谱?在曲谱图片上单击右键,选择"图片另存为...",即可将该曲谱保存到您的电脑本地,想要打印出来?将图片插入到WORD中,调整合适到大小打印即可。