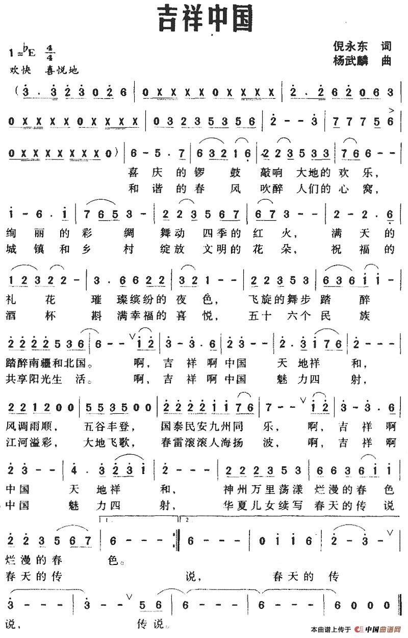
《吉祥中国》以其独特魅力在众多歌曲中脱颖而出。倪永东的词宛如一幅绚丽的画卷,生动描绘出中国大地的繁荣昌盛与人民的幸福生活,饱含着对祖国深深的热爱与赞美。杨武麟的曲旋律激昂且温暖,既有着大气磅礴的豪迈,又不失细腻温情。
这首歌想表达的是对祖国吉祥美好的祝愿。它让我们看到中国在发展道路上的辉煌成就,激发起每一个中华儿女内心的自豪感和归属感。在歌声中,我们仿佛能感受到国泰民安的祥和氛围,如同置身于一个充满希望与活力的国度。它是一首传递正能量、歌颂祖国的佳作。
吉祥中国(倪永东词 杨武麟曲)曲谱是由作词:倪永东作曲:杨武麟,上传:热爱音乐88,版权归原作者所有。

温馨提示:想要保存吉祥中国歌曲简谱,寓意美好家国情曲谱?在曲谱图片上单击右键,选择"图片另存为...",即可将该曲谱保存到您的电脑本地,想要打印出来?将图片插入到WORD中,调整合适到大小打印即可。